Задачи для подготовки к ЕГЭ
Учебник Физика 10 класс 2019 год
Г.Я.Мякишев Б.Б.Буховцев Н.Н.Сотский
Примечание: в печатном тексте векторные величины допускается изображать жирным шрифтом
§ 22 стр 79
![]() |
1. Тело массой 5 кг движется вертикально вверх с ускорением 2 м/с2. Определите модуль и направление равнодействующей силы.![]() |
2. Автомобиль массой 500 кг разгоняется с места равноускоренно и достигает
скорости 20 м/с за 10 с. Равнодействующая всех сил, действующих на авто-
мобиль, равна![]() |
3. Ученик собрал на столе установку. Тело А под действием
трёх сил находится в равновесии (см. рис.). Чему равна сила
упругости нити АВ, если сила F1, равная 3 Н, и сила F2, равная 4 Н, перпендикулярны друг другу?![]() |
4. На тело в инерциальной системе отсчёта действуют две
силы F1 и F2 (см. рис.). Как направлена равнодействующая
сила?![]() |
5. На тело, находящееся на горизонтальной плоскости, действуют три силы (см. рис.). Чему равен модуль равнодействующей силы, если F2 = 2 Н? ![]() |
§ 23 стр 82
![]() |
1. Лыжник в начале спуска с горы имел скорость 2 м/с. Спустившись по склону горы, образующей угол 300 с горизонтом, лыжник увеличил свою скорость
до 12 м/с. Какое расстояние проехал лыжник под уклон? Трение
не учитывайте.![]() |
2. Брусок массой M = 300 г соединён с бруском массой m = 200 г
невесомой и нерастяжимой нитью, перекинутой через невесомый
блок (см. рис.). Чему равен модуль ускорения бруска массой
200 г?
![]() |
§ 28 стр 95
![]() |
1. К каким двум телам массами m1 и m2 на расстоянии r друг от друга применим закон всемирного тяготения в форме ![]() |
2. Расстояние между центрами двух шаров равно 1 м, масса каждого шара
1 кг. Сила всемирного тяготения между ними равна![]() |
3. При увеличении в 3 раза расстояния между центрами шарообразных тел
сила гравитационного притяжения![]() |
4. По какой из приведённых формул можно рассчитать силу
гравитационного притяжения между двумя кораблями одина-
ковой массы m (см. рис.)? Считайте, что b много больше размеров кораблей.![]() |
5. Два маленьких шарика массой m каждый находятся на расстоянии r друг
от друга и притягиваются с силой F. Чему равна сила гравитационного притяжения двух других шариков, если масса каждого из них m/2, а расстояние
между их центрами 2r?![]() |
§ 30 стр 99
![]() |
1. Какое ускорение сообщает Солнце Земле своим притяжением? Расстояние
до Солнца примерно в 24 000 раз больше, чем радиус Земли, а масса Солнца
превышает массу Земли в 333 000 раз (gЗ = 10 м/с2).![]() |
| 2. Вычислите ускорение Луны, движущейся вокруг Земли по окружности. Расстояние между центрами Земли и Луны примите равным 400 000 км. Радиус
Земли 6400 км (gЗ = 10 м/с2). ![]() |
3. Отношение массы Венеры к массе Земли равно 0,82, а отношение среднего
радиуса Венеры к среднему радиусу Земли равно 0,95. Чему равна сила тяжести спускаемого на Венеру аппарата массой 500 кг? (gЗ = 10 м/с2).![]() |
§ 31 стр 101
![]() |
1. Какое выражение определяет значение скорости движения по круговой орбите спутника планеты массой M, если радиус планеты R, а расстояние от поверхности планеты до спутника h?![]() |
2. Космический корабль движется вокруг Земли по круговой орбите радиусом
20 000 км. Масса Земли 6 · 1024 кг. Определите скорость корабля.![]() |
3. Чему равна первая космическая скорость на Луне, если ускорение свободного падения на ней примерно в 6 раз меньше, чем на Земле, а радиус Луны
в 3,7 раза меньше радиуса Земли (gЗ = 9,8 м/с2).![]() |
§ 32 стр 104
![]() |
1. Чему равен радиус кольца Сатурна, в котором частицы движутся со скоро-
стью 10 км/с? Масса Сатурна 5,7 · 1026 кг.![]() |
2. Среднее расстояние от планеты Земля до Солнца составляет 149,6 млн км,
а от планеты Юпитер до Солнца — 778,3 млн км. Чему равно отношение
vЗ/vЮ линейных скоростей этих двух планет при их движении вокруг Солнца,
если считать их орбиты окружностями?![]() |
3. Среднее расстояние от Солнца до планеты Уран составляет 2875,03 млн км,
а до планеты Земля — 149,6 млн км. Чему приблизительно равна средняя линейная скорость планеты Уран при её движении вокруг Солнца, если известно, что средняя скорость движения Земли по орбите вокруг Солнца составляет
30 км/с?![]() |
4. Средняя плотность некоторой планеты равна средней плотности планеты
Земля, а радиус этой планеты в 2 раза больше радиуса Земли. Определите отношение первой космической скорости на этой планете к первой космической
скорости на Земле vп/vЗ.![]() |
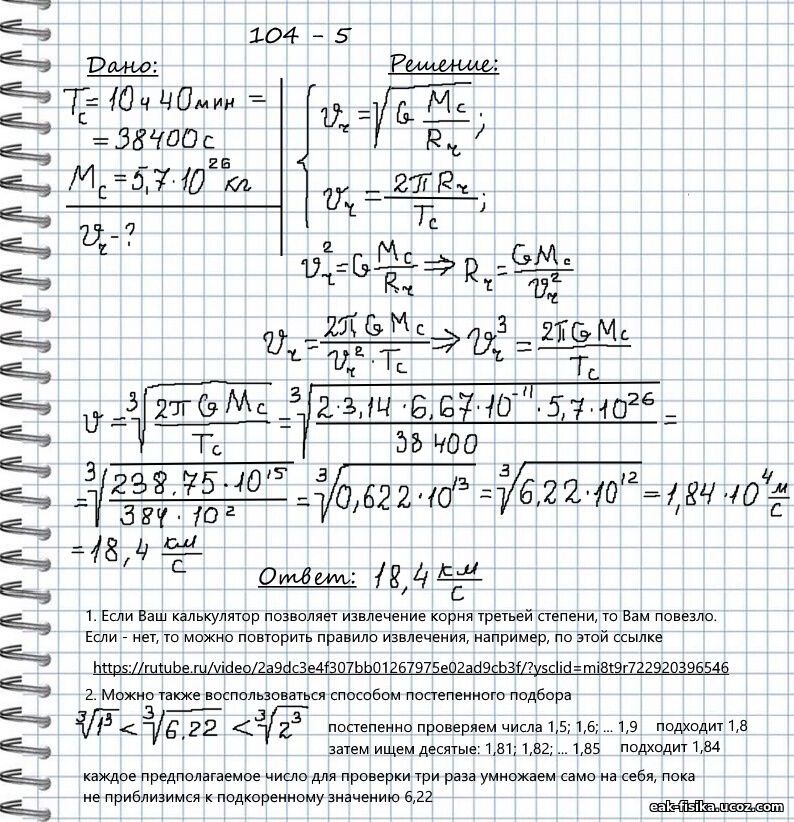
5. С какой скоростью движутся частицы, входящие в наиболее плотное кольцо
Сатурна, если известно, что период их обращения примерно совпадает с периодом вращения Сатурна вокруг своей оси и составляет 10 ч 40 мин? Масса
Сатурна равна 5,7 · 1026 кг. ссылка на "извлечение корней" |
§ 33 стр 106
![]() |
1. На полу лифта, движущегося с постоянным ускорением a, направленным
вертикально вверх, лежит груз массой m. Чему равен вес этого груза?![]() |
2. Автомобиль массой 1000 кг едет по выпуклому мосту с радиусом кривизны
40 м. Какую скорость должен иметь автомобиль в верхней точке моста, чтобы
пассажиры в этой точке почувствовали состояние невесомости?![]() |
§ 34 стр 109
![]() |
1. Ученик измеряет силу кисти своей руки с помощью пружинного силомера.
При этом используется способность силы![]() |
2. Пружина жёсткостью k = 104 Н/м под действием силы 1000 Н растянется на![]() |
3. На рисунке представлен график зависимости силы
упругости пружины от значения её деформации.
Жёсткость этой пружины равна![]() |
§ 36 стр 117
![]() |
1. На горизонтальном полу стоит ящик массой 20 кг. Коэффициент трения
между полом и ящиком равен 0,3. К ящику в горизонтальном направлении
прикладывают силу 36 Н. Чему равна сила трения между ящиком и полом?![]() |
2. Площадь первой боковой грани бруска, находящегося на столе, в 2 раза
меньше площади второй грани, а коэффициент трения о поверхность стола в
2 раза больше. При переворачивании бруска с первой грани на вторую сила
трения скольжения бруска о стол![]() |
3. Как изменяется сила трения при соскальзывании стержня с поверхности наклонённого стола? Скорость направлена вдоль стержня.![]() |
4. Тело равномерно движется по плоскости. Сила давления тела на плоскость
равна 8 Н, сила трения равна 2 Н. Коэффициент скольжения равен![]() |
5. Конькобежец массой 70 кг скользит по льду. Чему равна сила трения, действующая на конькобежца, если коэффициент трения скольжения коньков по
льду равен 0,02?![]() |
§ 37 стр 122
![]() |
1. К покоящемуся на шероховатой горизонтальной поверхности телу приложена нарастающая
с течением времени сила тяги F = bt, где b —
постоянная величина. На рисунке представлен
график зависимости ускорения тела от времени
действия силы. Определите коэффициент трения
скольжения.![]() |
2. По горизонтальной дороге мальчик тянет сани
массой 30 кг за верёвку, направленную под углом
600 к плоскости дороги, с силой 100 Н. Коэффициент трения 0,12. Определите ускорение саней.
Чему равен путь, пройденный санями за 5 с, если
в начальный момент времени их скорость была
равна нулю?![]() |
3. Шайба, брошенная вдоль наклонной плоскости, скользит по ней, двигаясь вверх, а затем движется вниз. График зависимости модуля скорости
шайбы от времени приведён на рисунке. Определите угол наклона плоскости к горизонту.![]() |














































